1. 지수함수란
a를 양의 상수, x를 모든 실수 값을 취하는 변수라고 할 때
y=ax 형태로 주어지는 함수를 의미한다.
상수 a는 지수함수의 밑(base) 라고 한다.
밑의 값으로 특히 중요한 것은 자연상수 e 이다.
자연상수 e 는 다음과 같은 근삿값을 갖는다.
e=2.718281828....

y=ex 역시 그래프로 나타낼 수 있으며 실변수 x의 함수로서 그래프는 항상 양수이고 왼쪽에서 오른쪽으로 증가한다.
이 때 그래프는 x축과 만나지 않지만 x축에 점점 접근해 간다.
2. 지수함수를 사용하는 이유
미분은 그래프의 기울기값으로 생각할 수 있다.
만약 시간(x축)에서 이동하는 거리(y축)을 측정한 후 특정시간에서의 기울기를 구하게 되면 그 시간을 지나는 시점의 속도를 알 수 있다.
적분은 미분의 반대 개념으로 시간(x축)이 흐르면서 속도가 변화하는 것(y축)을 측정하여 그래프로 나타내었다면 그 그래프가 가지고 있는 면적은 이동한 거리를 의미하는데 이 때 면적을 구하는 수단으로 적분을 사용한다.
지수함수를 살펴 보면 값이 작을 때는 조금씩 증가하다가 값이 커질 수록 그 폭이 넓어진다.
만일 내가 가지고 있는 데이터들 중에서 값이 큰 값들만 확대해서 보고 싶다면 지수함수를 이용해서 값을 변환 시키면 된다.
이 함수는 입력값을 증폭시키는 효과가 있다.
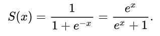
3.시그모이드 함수
자연상수를 포함하는 지수함수를 분모로 갖는 함수가 시그모이드 함수이다.
신경망에서 사용하는 활성화 함수의 대표이다.

예를 들어 e=2.7 이라고 하면 S(-1)=0.27,S(0)=0.5,S(1)=0.73이 된다.
이 함수의 그래프는 다음과 같다.

그래프에서 보듯 이 함수는 어디서나 미분 가능하고 또 함숫값은 0과 1사이이다.
함숫값으로 확률을 계산할 수 있다.
시그모이드 함수는 신경망 초기에는 많이 사용되었지만 기울기소실문제,함수의 중심값이 0이 아닌 문제,exp함수 사용시 비용이 큰 문제와 같은 단점들 때문에 최근에는 ReLU 함수를 많이 사용하고 있다.
참고)
한빛미디어 - 처음 배우는 딥러닝 수학,위키백과,
'강의자료 > 인공지능수학' 카테고리의 다른 글
| [기초수학]신경망에서 많이 사용하는 시그마 (10) | 2023.05.26 |
|---|---|
| [기초수학] 수열과 점화식 (13) | 2023.04.05 |
| [기초수학] 제곱근 (19) | 2023.03.10 |
| [인공지능수학] 신뢰구간(Confidence Interval) (17) | 2023.02.24 |
| [인공지능수학] 중심극한정리 (17) | 2023.02.10 |