1. 플로이드 워셜(Floyd-Warshall) 알고리즘
플로이드 워셜 알고리즘이란 모든 정점들간의 상호 최단거리를 구하기 위한 알고리즘이다.
시간복잡도는 O(N^3) 으로 i에서 j를 갈때 i->k->j 와 같이 모든 정점(k)를 거쳐서 i 에서 j를 가면서 가장 가까운 거리를 찾는 알고리즘이다.
기본적인 알고리즘 의사코드는 다음과 같다.
1 let dist be a |V| × |V| array of minimum distances initialized to ∞ (infinity)
2 for each edge (u,v)
3 dist[u][v] ← w(u,v) // 변 (u,v)의 가중치
4 for each vertex v
5 dist[v][v] ← 0
6 for k from 1 to |V|
7 for i from 1 to |V|
8 for j from 1 to |V|
9 if dist[i][j] > dist[i][k] + dist[k][j]
10 dist[i][j] ← dist[i][k] + dist[k][j]
11 end if
응용 : 네비게이션 시스템,네트웍 커뮤니케이션 등
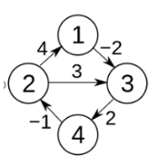
2. 플로이드워셜(Floyd-Warshall) 알고리즘 예

위와 같은 그래프를 표로 만들면 다음과 같다.

1) k=1 일 때 1부터 4까지 1을 거쳐 가는 모든 경로를 최솟값으로 갱신한다.

2) k=2 일 때 1부터 4까지 2를 거쳐 가는 모든 경로를 최솟값으로 갱신한다.

3) k=3 일 때 1부터 4까지 3를 거쳐 가는 모든 경로를 최솟값으로 갱신한다.

4) k=4 일 때 1부터 4까지 4를 거쳐 가는 모든 경로를 최솟값으로 갱신한다.

이렇게 i~j 경로를 모든 k를 거쳐서 가는 가장 작은 경로를 찾으면 위와 같은 값을 찾을 수 있다.
3. 문제풀이
jungol.co.kr/bbs/board.php?bo_table=pbank&wr_id=816&sca=4070
JUNGOL
www.jungol.co.kr
#include <iostream>
#include <cstdio>
using namespace std;
int connect[60][60];
int score[60];
int main()
{
//freopen("input.txt","r",stdin);
int n;
int a,b;
int i,j,k;
cin >> n;
for(i=0;i<=n;i++)
{
for(j=0;j<=n;j++)
{
if(i==j) connect[i][j]=0;
else connect[i][j]=987654321;
}
}
while(1)
{
cin >> a >> b;
if(a<0 || b< 0) break;
connect[a][b]=1;
connect[b][a]=1;
}
//플로이드 워셜 알고리즘으로 최단 거리를 찾자.
for(k=1;k<=n;k++)
{
for(i=1;i<=n;i++)
{
for(j=1;j<=n;j++)
{
if(connect[i][j] > connect[i][k] + connect[k][j]) connect[i][j] = connect[i][k] + connect[k][j];
}
}
}
int minscore = 987654321;
for(i=1;i<=n;i++) score[i] = 0;
for(i=1;i<=n;i++)
{
for(j=1;j<=n;j++) if(score[i] < connect[i][j]) score[i] = connect[i][j];
if(minscore > score[i]) minscore = score[i];
}
int cnt=0;
for(i=1;i<=n;i++)
{
if(minscore == score[i]) cnt++;
}
printf("%d %d\n",minscore,cnt);
for(i=1;i<=n;i++)
{
if(minscore == score[i]) printf("%d ",i);
}
return 0;
}
사업자 정보 표시
원당컴퓨터학원 | 기희경 | 인천 서구 당하동 1028-2 장원프라자 502호 | 사업자 등록번호 : 301-96-83080 | TEL : 032-565-5497 | Mail : icon001@naver.com | 통신판매신고번호 : 호 | 사이버몰의 이용약관 바로가기
'강의자료 > 알고리즘' 카테고리의 다른 글
| 기하알고리즘] 회전하는 캘리퍼스 (28) | 2023.11.01 |
|---|---|
| [알고리즘]다익스트라(Dijkstra) 알고리즘 (9) | 2023.03.16 |
| [알고리즘] 크루스칼알고리즘 (12) | 2023.02.23 |
| [알고리즘] 부분합 (8) | 2023.02.08 |
| [알고리즘] 조합탐색 (12) | 2023.02.01 |